据相关学者分享,澳门城市大学近日已正式发布《预警期刊目录》,其中Hindawi、MDPI、Frontiers三家出版商出版的期刊全部在列。
预警期刊目录 Early Warning Journal List
经2025年11月19日2025-2026学年科研专责小组第一次会议通过
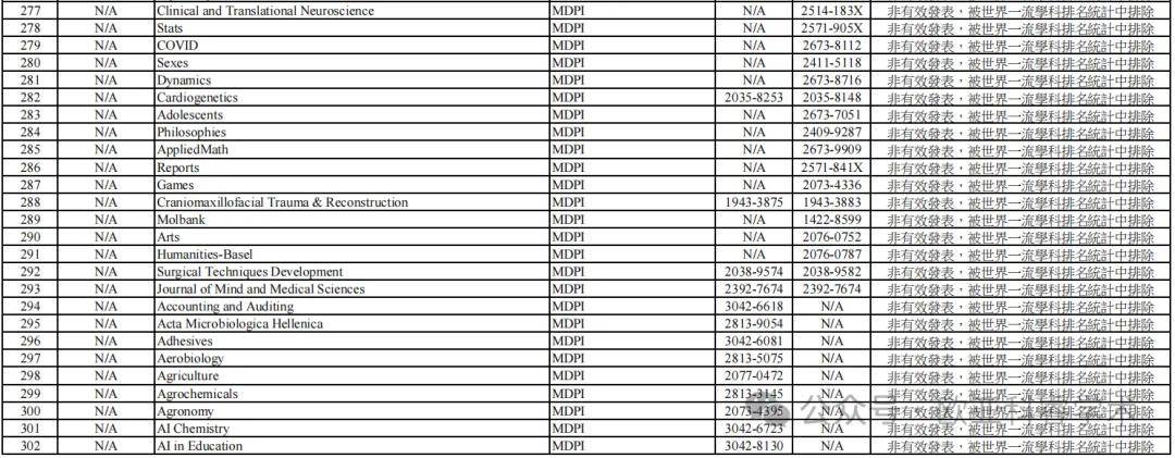
1.预警期刊目录来源:中国科学院文献情报中心《国际期刊预警名单》2024年及2025年、软科世界一流学科数据监测平台载明剔除由Hindawi、MDPI、Frontiers三家OA出版商出版的期刊、科睿唯安数据库中显示状态异常(暂停或压制)及已被剔除的期刊(Master Journal List 2024+2025 Jan-Oct Changes)。
2.综合各学院反馈及科研专责小组组长周万雷副校长指示,建议适度缩减预警期刊范围,本次第三版预警期刊目录修订,较初稿版本相比,已删掉中科院较早批次的预警期刊及中大预警期刊共92本,现减至1301本。
3.有关名单中以高亮形式标注出来的期刊,为2021-2022学年至2024-2025学年共4学年的版面费及润色费资助及2023-2024学年共1学年的科研奖励在以上时间段内不完全统计。此类期刊经初步核查,存在我校过往曾对其发表论文提供资助或奖励的情况,特作区分标注。
4.本预警期刊自颁布之日起实施,适用本学年内进行之奖励核算、人员晋升等场景。本预警期刊目录采用动态调整,每年更新一次。
5.大学对预警期刊目录内的期刊发表一律不奖励、不资助、不积分。
6.本预警期刊适用本校所有师生,学生毕业论文要求中须规避本目录中预警期刊,本校学生确坚持要在预警期刊发表,应规劝其勿使用城大机构署名。


















因版面有限
赞一个